-
Notifications
You must be signed in to change notification settings - Fork 6
Decision Tree in R : Metaprotein
Rahul Mondal edited this page Apr 21, 2021
·
17 revisions
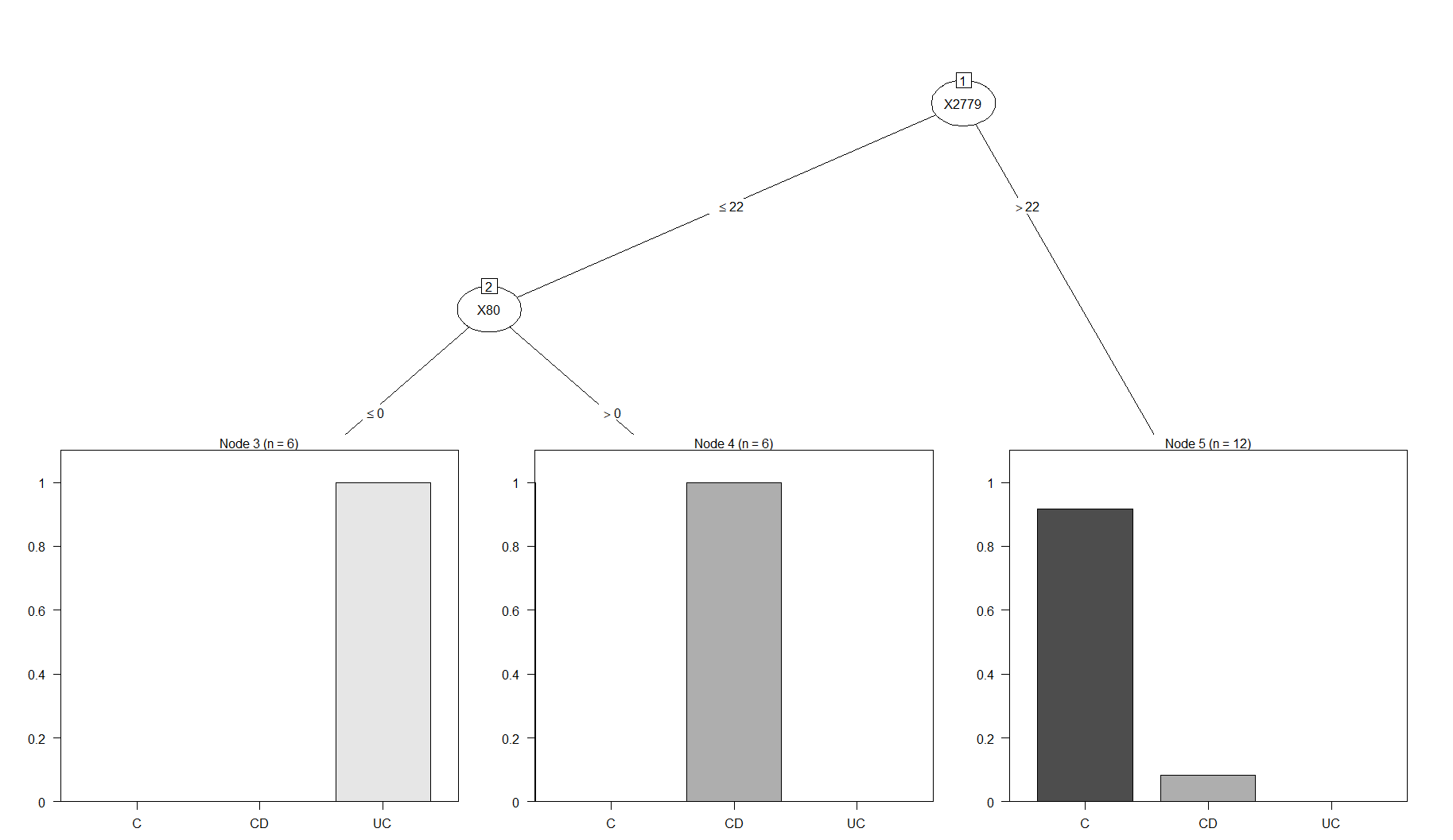
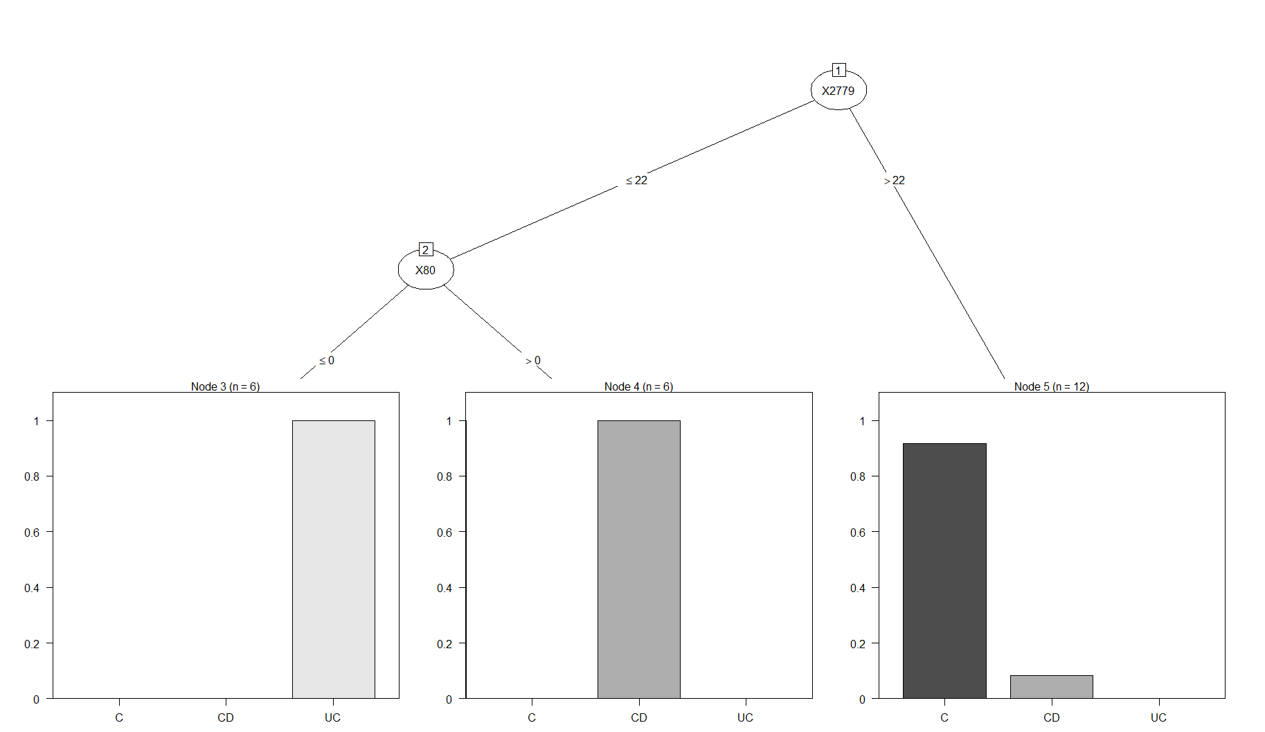
We have implemented the following algorithms of Decision Trees for comparison of accuracy
- CART
- C 4.5
- C 5.0
We have taken half (1/2) of our Heart Failure Prediction Dataset to be used as Training Dataset & (1/2) to be used as Testing Dataset

Accuracy = 15/24 = 62.5 %
Accuracy = 17/24 = 70.8 %

Accuracy = 17/24 = 70.8 %